Классы
1 класс
2 класс
3 класс
4 класс
5 класс
6 класс
7 класс
8 класс
9 класс
10 класс
11 класс
Предметы
Алгебра
Английский язык
Белорусский язык
Биология
География
Геометрия
Естествознание
Информатика
Искусство
История
Кубановедение
Литература
Математика
Музыка
Немецкий язык
ОБЖ
Обществознание
Окружающий мир
Основы здоровья
Природоведение
Русский язык
Технология
Украинский язык
Физика
Французский язык
Химия
Человек и мир
Я исследую мир
ГДЗ
9 класс
Геометрия
учебник Погорелов
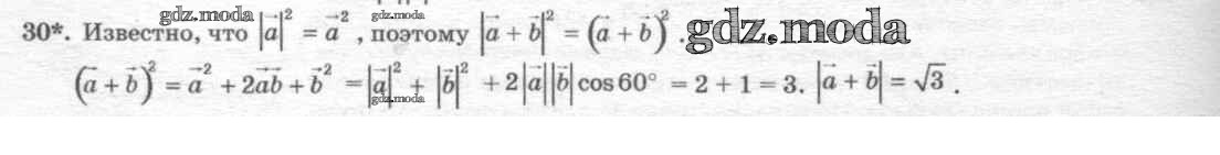
30
ОТВЕТ на задание № 30 Учебник по Геометрии 7-9 класс Погорелов
Показать содержание
← Предыдущее
Следующее →
Решебник №1
параграф 10 / 30
Решебник №2
параграф 10 / 30
Решебник №3
параграф 10 / 30
Показать содержание
← Предыдущее
Следующее →
ГДЗ решение к заданию № 30 Геометрия 7-9 классы Погорелов А.В. Просвещение 2014 ФГОС бесплатно на гдз.мода!