Классы
1 класс
2 класс
3 класс
4 класс
5 класс
6 класс
7 класс
8 класс
9 класс
10 класс
11 класс
Предметы
Алгебра
Английский язык
Белорусский язык
Биология
География
Геометрия
Естествознание
Информатика
Искусство
История
Кубановедение
Литература
Математика
Музыка
Немецкий язык
ОБЖ
Обществознание
Окружающий мир
Основы здоровья
Природоведение
Русский язык
Технология
Украинский язык
Физика
Французский язык
Химия
Человек и мир
Я исследую мир
ГДЗ
9 класс
Химия
Еремин рабочая тетрадь
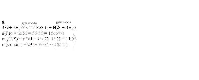
8
ОТВЕТ на задание № 8 Рабочая тетрадь по Химии 9 класс Еремин
Показать содержание
← Предыдущее
Следующее →
Решебник
параграф 27 (упражнение) / 8
Показать содержание
← Предыдущее
Следующее →
ГДЗ решение к заданию № 8 Химия 9 класс рабочая тетрадь Еремин Дрофа 2020 бесплатно на гдз.мода!