ОТВЕТ на задание № 5 Учебник по Химии 9 класс Рудзитис УМК

Решебник №1

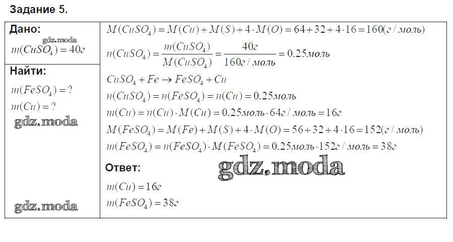
новое издание / § 9. Реакции ионного обмена / 5

Решебник №2

новое издание / § 9. Реакции ионного обмена / 5

Решебник №3

новое издание / § 9. Реакции ионного обмена / 5

Все ГДЗ по Химии 9 класс УМК

ГДЗ решение к заданию № 5 Химия 9 класс Рудзитис Г.Е. Просвещение 2016 ФГОС бесплатно на гдз.мода!