ОТВЕТ на задание № 1-29 Задачник по Химии 9 класс Кузнецова Алгоритм успеха
Решебник
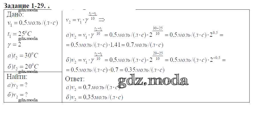
глава №1. теоретические основы химических процессов / 1-29
Все ГДЗ по Химии 9 класс Алгоритм успеха
Все ГДЗ по Химии 9 класс Алгоритм успеха