Классы
1 класс
2 класс
3 класс
4 класс
5 класс
6 класс
7 класс
8 класс
9 класс
10 класс
11 класс
Предметы
Алгебра
Английский язык
Белорусский язык
Биология
География
Геометрия
Естествознание
Информатика
Искусство
История
Кубановедение
Литература
Математика
Музыка
Немецкий язык
ОБЖ
Обществознание
Окружающий мир
Основы здоровья
Природоведение
Русский язык
Технология
Украинский язык
Физика
Французский язык
Химия
Человек и мир
Я исследую мир
ГДЗ
9 класс
Химия
задачник Кузнецова
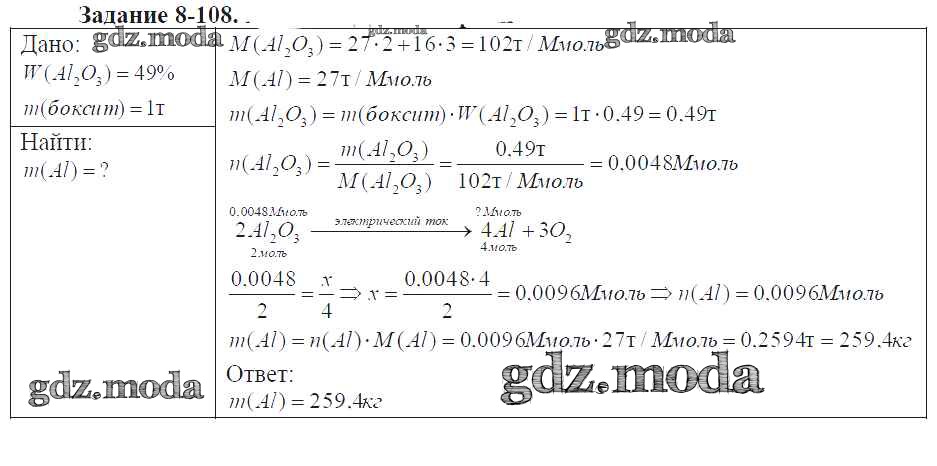
8-108
ОТВЕТ на задание № 8-108 Задачник по Химии 9 класс Кузнецова Алгоритм успеха
Показать содержание
← Предыдущее
Следующее →
Решебник
глава №8. металлы / 8-108
Показать содержание
← Предыдущее
Следующее →
Все ГДЗ по
Химии 9 класс Алгоритм успеха
ГДЗ решение к заданию № 8-108 Химия 9 класс задачник Кузнецова Н.Е. Вентана-граф 2015 ФГОС бесплатно на гдз.мода!