Классы
1 класс
2 класс
3 класс
4 класс
5 класс
6 класс
7 класс
8 класс
9 класс
10 класс
11 класс
Предметы
Алгебра
Английский язык
Белорусский язык
Биология
География
Геометрия
Естествознание
Информатика
Искусство
История
Кубановедение
Литература
Математика
Музыка
Немецкий язык
ОБЖ
Обществознание
Окружающий мир
Основы здоровья
Природоведение
Русский язык
Технология
Украинский язык
Физика
Французский язык
Химия
Человек и мир
Я исследую мир
ГДЗ
9 класс
Химия
задачник Кузнецова
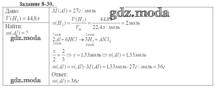
8-30
ОТВЕТ на задание № 8-30 Задачник по Химии 9 класс Кузнецова Алгоритм успеха
Показать содержание
← Предыдущее
Следующее →
Решебник
глава №8. металлы / 8-30
Показать содержание
← Предыдущее
Следующее →
Все ГДЗ по
Химии 9 класс Алгоритм успеха
ГДЗ решение к заданию № 8-30 Химия 9 класс задачник Кузнецова Н.Е. Вентана-граф 2015 ФГОС бесплатно на гдз.мода!