Классы
1 класс
2 класс
3 класс
4 класс
5 класс
6 класс
7 класс
8 класс
9 класс
10 класс
11 класс
Предметы
Алгебра
Английский язык
Белорусский язык
Биология
География
Геометрия
Естествознание
Информатика
Искусство
История
Кубановедение
Литература
Математика
Музыка
Немецкий язык
ОБЖ
Обществознание
Окружающий мир
Основы здоровья
Природоведение
Русский язык
Технология
Украинский язык
Физика
Французский язык
Химия
Человек и мир
Я исследую мир
ГДЗ
10 класс
Алгебра
Арефьева
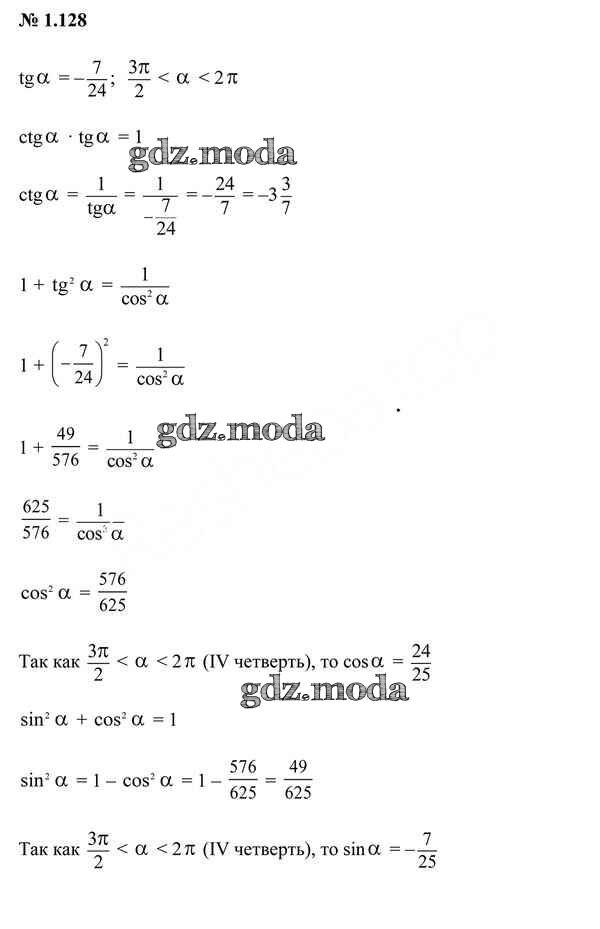
1.128
ОТВЕТ на задание № 1.128 Учебник по Алгебре 10 класс Арефьева
Показать содержание
← Предыдущее
Следующее →
Решебник
глава 1 / 1.128
Показать содержание
← Предыдущее
Следующее →
ГДЗ решение к заданию № 1.128 Алгебра 10 класс Арефьева И. Г. Народная асвета 2019 бесплатно на гдз.мода!