Классы
1 класс
2 класс
3 класс
4 класс
5 класс
6 класс
7 класс
8 класс
9 класс
10 класс
11 класс
Предметы
Алгебра
Английский язык
Белорусский язык
Биология
География
Геометрия
Естествознание
Информатика
Искусство
История
Кубановедение
Литература
Математика
Музыка
Немецкий язык
ОБЖ
Обществознание
Окружающий мир
Основы здоровья
Природоведение
Русский язык
Технология
Украинский язык
Физика
Французский язык
Химия
Человек и мир
Я исследую мир
ГДЗ
10 класс
Алгебра
Арефьева
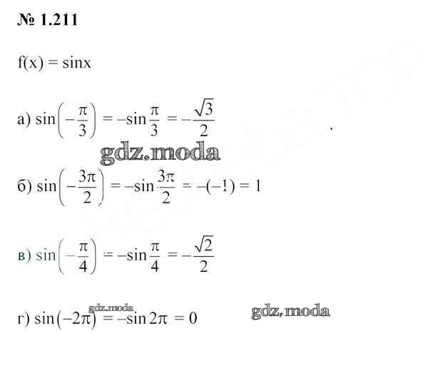
1.211
ОТВЕТ на задание № 1.211 Учебник по Алгебре 10 класс Арефьева
Показать содержание
← Предыдущее
Следующее →
Решебник
глава 1 / 1.211
Показать содержание
← Предыдущее
Следующее →
ГДЗ решение к заданию № 1.211 Алгебра 10 класс Арефьева И. Г. Народная асвета 2019 бесплатно на гдз.мода!