Классы
1 класс
2 класс
3 класс
4 класс
5 класс
6 класс
7 класс
8 класс
9 класс
10 класс
11 класс
Предметы
Алгебра
Английский язык
Белорусский язык
Биология
География
Геометрия
Естествознание
Информатика
Искусство
История
Кубановедение
Литература
Математика
Музыка
Немецкий язык
ОБЖ
Обществознание
Окружающий мир
Основы здоровья
Природоведение
Русский язык
Технология
Украинский язык
Физика
Французский язык
Химия
Человек и мир
Я исследую мир
ГДЗ
10 класс
Алгебра
Базовый и углубленный уровни Никольский
30
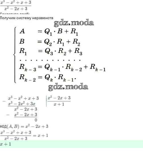
ОТВЕТ на задание № 30 Учебник по Алгебре 10 класс Никольский МГУ - школе Базовый и углубленный уровень
Показать содержание
← Предыдущее
Следующее →
Решебник
глава 1 / §2 / 30
Показать содержание
← Предыдущее
Следующее →
Все ГДЗ по
Алгебре 10 класс МГУ - школе
ГДЗ решение к заданию № 30 Алгебра и начала математического анализа 10 класс Базовый и углубленный уровни Никольский С.М. Просвещение 2015 Базовый и углубленный уровень ФГОС бесплатно на гдз.мода!