Классы
1 класс
2 класс
3 класс
4 класс
5 класс
6 класс
7 класс
8 класс
9 класс
10 класс
11 класс
Предметы
Алгебра
Английский язык
Белорусский язык
Биология
География
Геометрия
Естествознание
Информатика
Искусство
История
Кубановедение
Литература
Математика
Музыка
Немецкий язык
ОБЖ
Обществознание
Окружающий мир
Основы здоровья
Природоведение
Русский язык
Технология
Украинский язык
Физика
Французский язык
Химия
Человек и мир
Я исследую мир
ГДЗ
10 класс
Алгебра
Рурукин контрольно-измерительные материалы
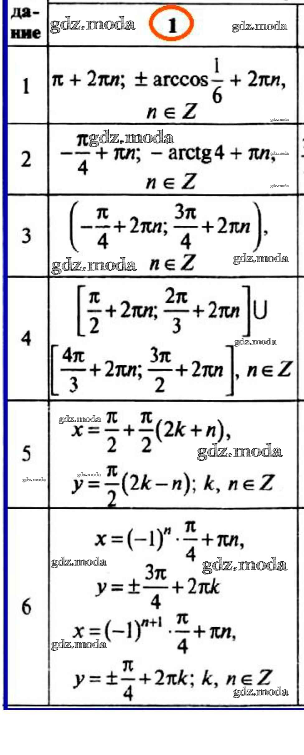
1
ОТВЕТ на задание № 1 Контрольно-измерительные материалы (КИМ) по Алгебре 10 класс Рурукин
Показать содержание
← Предыдущее
Следующее →
Решебник
контрольная работа 4 / 1
Показать содержание
← Предыдущее
Следующее →
ГДЗ решение к заданию № 1 Алгебра 10 класс контрольно-измерительные материалы Рурукин ВАКО 2017 ФГОС бесплатно на гдз.мода!