Классы
1 класс
2 класс
3 класс
4 класс
5 класс
6 класс
7 класс
8 класс
9 класс
10 класс
11 класс
Предметы
Алгебра
Английский язык
Белорусский язык
Биология
География
Геометрия
Естествознание
Информатика
Искусство
История
Кубановедение
Литература
Математика
Музыка
Немецкий язык
ОБЖ
Обществознание
Окружающий мир
Основы здоровья
Природоведение
Русский язык
Технология
Украинский язык
Физика
Французский язык
Химия
Человек и мир
Я исследую мир
ГДЗ
10 класс
Алгебра
Дидактические материалы Шабунин
вариант 1
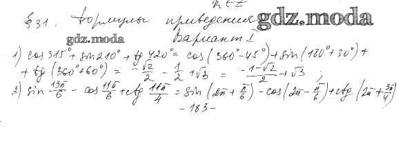
ОТВЕТ на задание № вариант 1 Дидактические материалы по Алгебре 10 класс Шабунин Базовый и углубленный уровень
Показать содержание
← Предыдущее
Следующее →
Решебник
глава 5 / §31 / вариант 1
Показать содержание
← Предыдущее
Следующее →
ГДЗ решение к заданию № вариант 1 Алгебра и начала математического анализа 10 класс Дидактические материалы Шабунин М.И. (к уч. Алимова) Просвещение 2017 Базовый и углубленный уровень ФГОС бесплатно на гдз.мода!