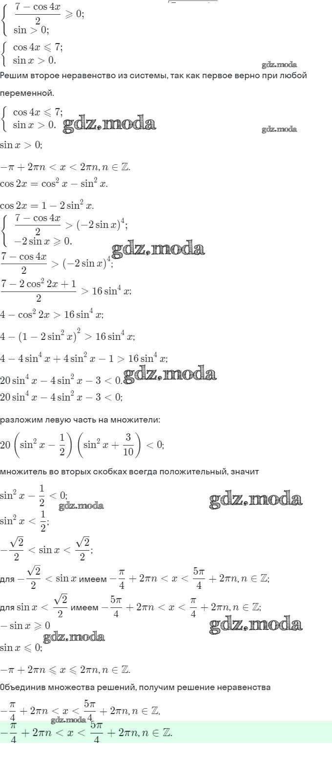
ОТВЕТ на задание № 1228 Учебник по Алгебре 10 класс Колягин Базовый и углубленный уровень

ГДЗ решение к заданию № 1228 Алгебра и начала математического анализа 10 класс Базовый и углубленный уровни Колягин Ю.М. Просвещение 2017 Базовый и углубленный уровень ФГОС бесплатно на гдз.мода!