Классы
1 класс
2 класс
3 класс
4 класс
5 класс
6 класс
7 класс
8 класс
9 класс
10 класс
11 класс
Предметы
Алгебра
Английский язык
Белорусский язык
Биология
География
Геометрия
Естествознание
Информатика
Искусство
История
Кубановедение
Литература
Математика
Музыка
Немецкий язык
ОБЖ
Обществознание
Окружающий мир
Основы здоровья
Природоведение
Русский язык
Технология
Украинский язык
Физика
Французский язык
Химия
Человек и мир
Я исследую мир
ГДЗ
10 класс
Алгебра
Мерзляк
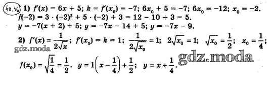
40.16
ОТВЕТ на задание № 40.16 Учебник по Алгебре 10 класс Мерзляк Алгоритм успеха Углубленный уровень
Показать содержание
← Предыдущее
Следующее →
Решебник
§40 / 40.16
Показать содержание
← Предыдущее
Следующее →
Все ГДЗ по
Алгебре 10 класс Алгоритм успеха
ГДЗ решение к заданию № 40.16 Математика: алгебра и начала математического анализа 10 класс Мерзляк А.Г. Вентана-граф 2019 Углубленный уровень ФГОС бесплатно на гдз.мода!