ОТВЕТ на задание № 2 Дидактические материалы по Математике 6 класс Мерзляк Алгоритм успеха
Решебник 1
контрольная работа / кр-8. вариант / 2

Решебник 2
контрольная работа / кр-8. вариант / 2


Решебник 3
контрольная работа / кр-8. вариант / 2


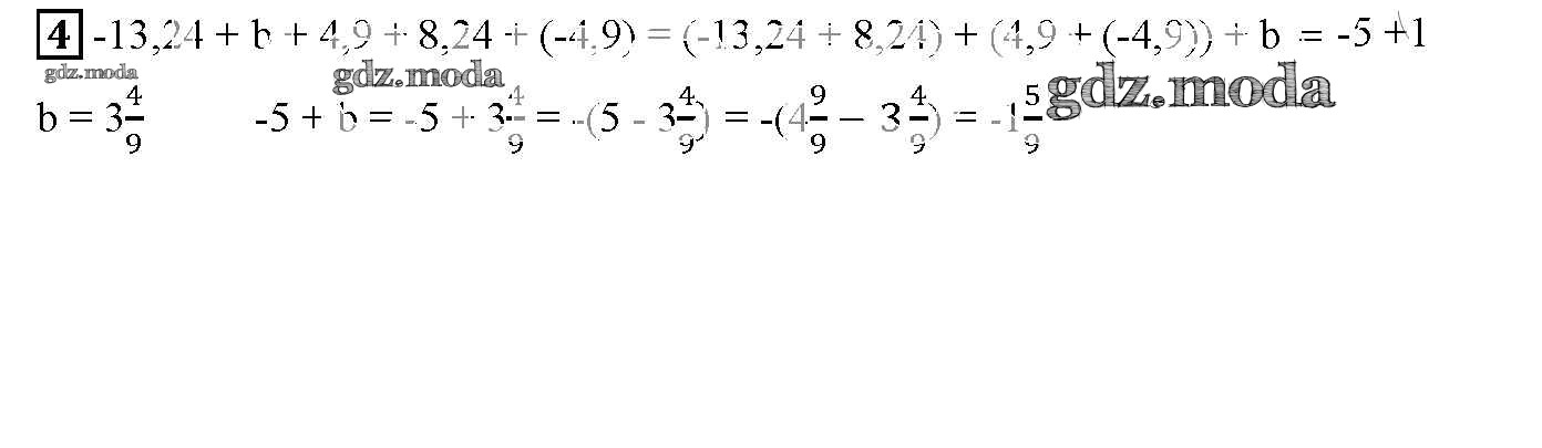
Решебник 4
контрольная работа / кр-8. вариант / 2







Все ГДЗ по Математике 6 класс Алгоритм успеха