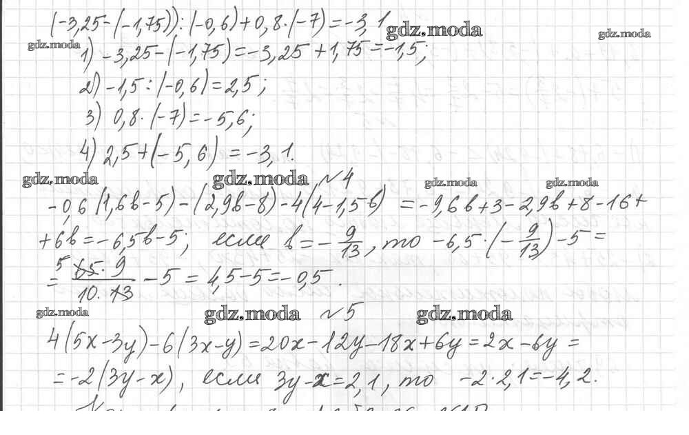
ОТВЕТ на задание № 1 Дидактические материалы по Математике 6 класс Мерзляк Алгоритм успеха

Решебник 1

контрольная работа / кр-9. вариант / 1

Решебник 2

контрольная работа / кр-9. вариант / 1

Решебник 3

контрольная работа / кр-9. вариант / 1

Решебник 4

контрольная работа / кр-9. вариант / 1

Все ГДЗ по Математике 6 класс Алгоритм успеха

ГДЗ решение к заданию № 1 Математика 6 класс дидактические материалы Мерзляк А.Г. Вентана-граф 2017 ФГОС бесплатно на гдз.мода!