Классы
1 класс
2 класс
3 класс
4 класс
5 класс
6 класс
7 класс
8 класс
9 класс
10 класс
11 класс
Предметы
Алгебра
Английский язык
Белорусский язык
Биология
География
Геометрия
Естествознание
Информатика
Искусство
История
Кубановедение
Литература
Математика
Музыка
Немецкий язык
ОБЖ
Обществознание
Окружающий мир
Основы здоровья
Природоведение
Русский язык
Технология
Украинский язык
Физика
Французский язык
Химия
Человек и мир
Я исследую мир
ГДЗ
6 класс
Математика
Виленкин Учебник
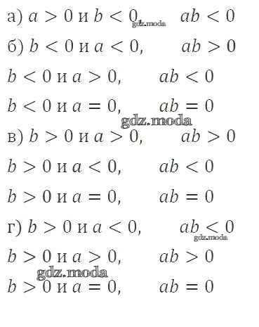
376
ОТВЕТ на задание № 376 Учебник по Математике 6 класс Виленкин
Показать содержание
← Предыдущее
Следующее →
Решебник
часть 2 / 376
Показать содержание
← Предыдущее
Следующее →
ГДЗ решение к заданию № 376 Математика 6 класс Виленкин Н.Я.(Новый учебник) Мнемозина 2017 Часть 1, Часть 2 ФГОС бесплатно на гдз.мода!