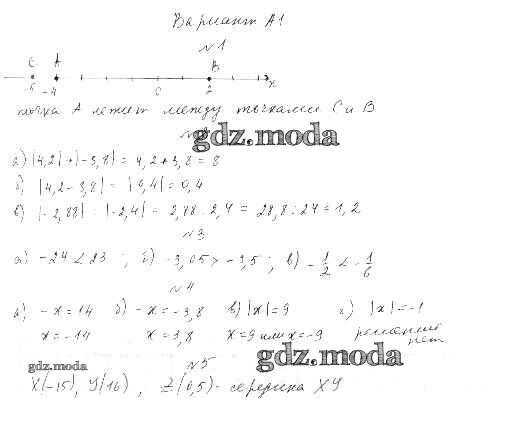
ОТВЕТ на задание № А-1 Самостоятельные и контрольные работы по Математике 6 класс Ершова
Решебник
контрольные работы / кр-8 / А-1
ГДЗ решение к заданию № А-1 Математика 6 класс самостоятельные и контрольные работы Ершова А.П. Илекса 2015 ФГОС бесплатно на гдз.мода!