ОТВЕТ на задание № А-2 Самостоятельные и контрольные работы по Математике 6 класс Ершова
Решебник
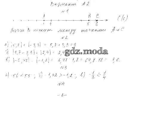
контрольные работы / кр-8 / А-2
ГДЗ решение к заданию № А-2 Математика 6 класс самостоятельные и контрольные работы Ершова А.П. Илекса 2015 ФГОС бесплатно на гдз.мода!