ОТВЕТ на задание № 1003 Учебник по Алгебре 7 класс Мерзляк Алгоритм успеха Базовый уровень
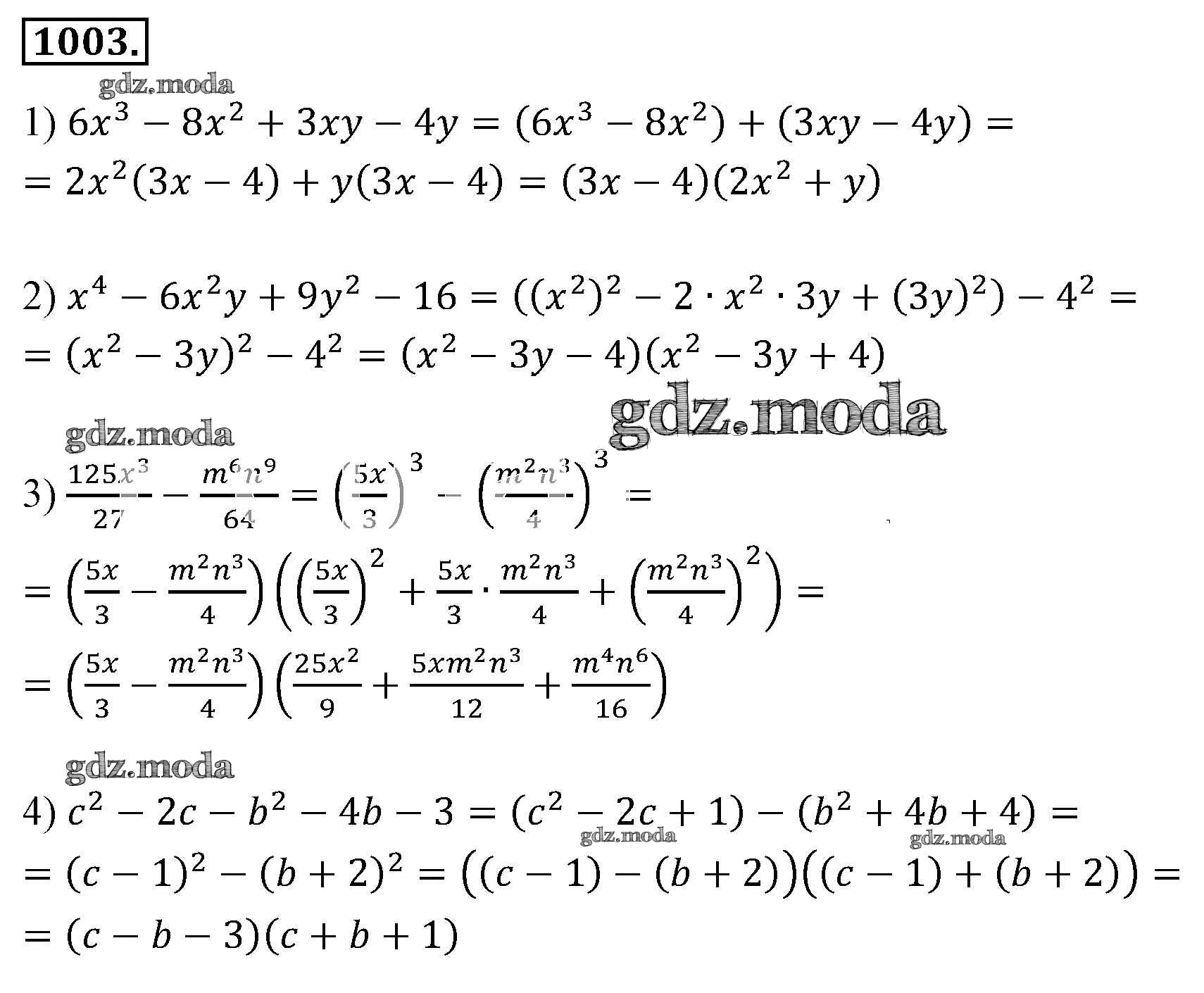
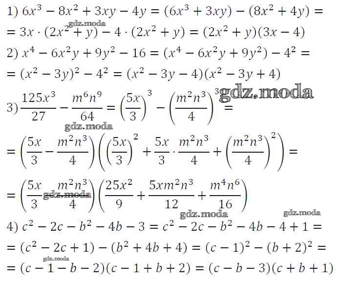
Условия
упражнение / 1003

Решебник №1
упражнение / 1003


Решебник №2
упражнение / 1003

Решебник №4
упражнение / 1003

Решебник №5
упражнение / 1003

Все ГДЗ по Алгебре 7 класс Алгоритм успеха