ОТВЕТ на задание № 1004 Учебник по Алгебре 7 класс Мерзляк Алгоритм успеха Базовый уровень
Условия
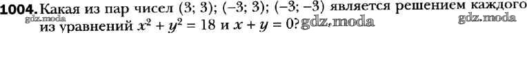
упражнение / 1004

Решебник №1
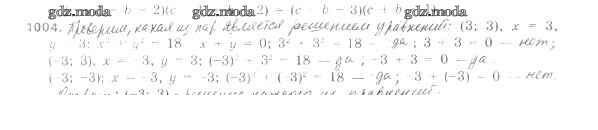
упражнение / 1004

Решебник №2
упражнение / 1004

Решебник №3
упражнение / 1004

Решебник №4
упражнение / 1004

Решебник №5
упражнение / 1004

Все ГДЗ по Алгебре 7 класс Алгоритм успеха