ОТВЕТ на задание № 1149 Учебник по Алгебре 7 класс Мерзляк Алгоритм успеха Базовый уровень
Условия
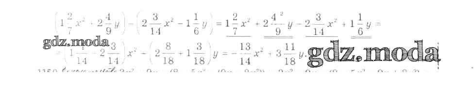
упражнение / 1149

Решебник №1
упражнение / 1149


Решебник №2
упражнение / 1149

Решебник №4
упражнение / 1149


Решебник №5
упражнение / 1149

Все ГДЗ по Алгебре 7 класс Алгоритм успеха