ОТВЕТ на задание № 1150 Учебник по Алгебре 7 класс Мерзляк Алгоритм успеха Базовый уровень
Условия
упражнение / 1150

Решебник №1
упражнение / 1150

Решебник №2
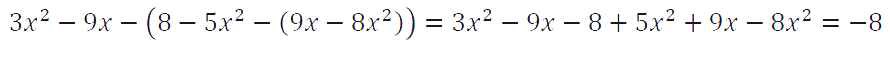
упражнение / 1150

Решебник №3
упражнение / 1150

Решебник №4
упражнение / 1150

Решебник №5
упражнение / 1150

Все ГДЗ по Алгебре 7 класс Алгоритм успеха