ОТВЕТ на задание № 1151 Учебник по Алгебре 7 класс Мерзляк Алгоритм успеха Базовый уровень
Условия
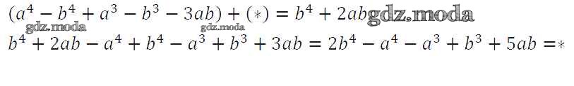
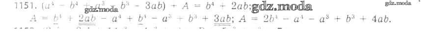
упражнение / 1151

Решебник №1
упражнение / 1151


Решебник №2
упражнение / 1151

Решебник №4
упражнение / 1151


Решебник №5
упражнение / 1151

Все ГДЗ по Алгебре 7 класс Алгоритм успеха