ОТВЕТ на задание № 137 Учебник по Алгебре 7 класс Мерзляк Алгоритм успеха Базовый уровень
Условия
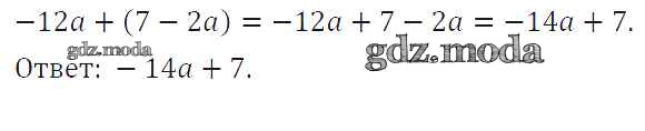
упражнение / 137

Решебник №1
упражнение / 137

Решебник №2
упражнение / 137

Решебник №4
упражнение / 137

Решебник №5
упражнение / 137

Все ГДЗ по Алгебре 7 класс Алгоритм успеха