ОТВЕТ на задание № 138 Учебник по Алгебре 7 класс Мерзляк Алгоритм успеха Базовый уровень
Условия
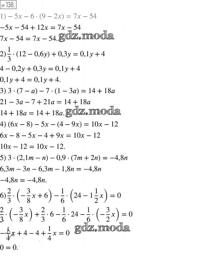
упражнение / 138

Решебник №1
упражнение / 138


Решебник №2
упражнение / 138

Решебник №3
упражнение / 138

Решебник №4
упражнение / 138

Решебник №5
упражнение / 138

Все ГДЗ по Алгебре 7 класс Алгоритм успеха