ОТВЕТ на задание № 142 Учебник по Алгебре 7 класс Мерзляк Алгоритм успеха Базовый уровень
Условия
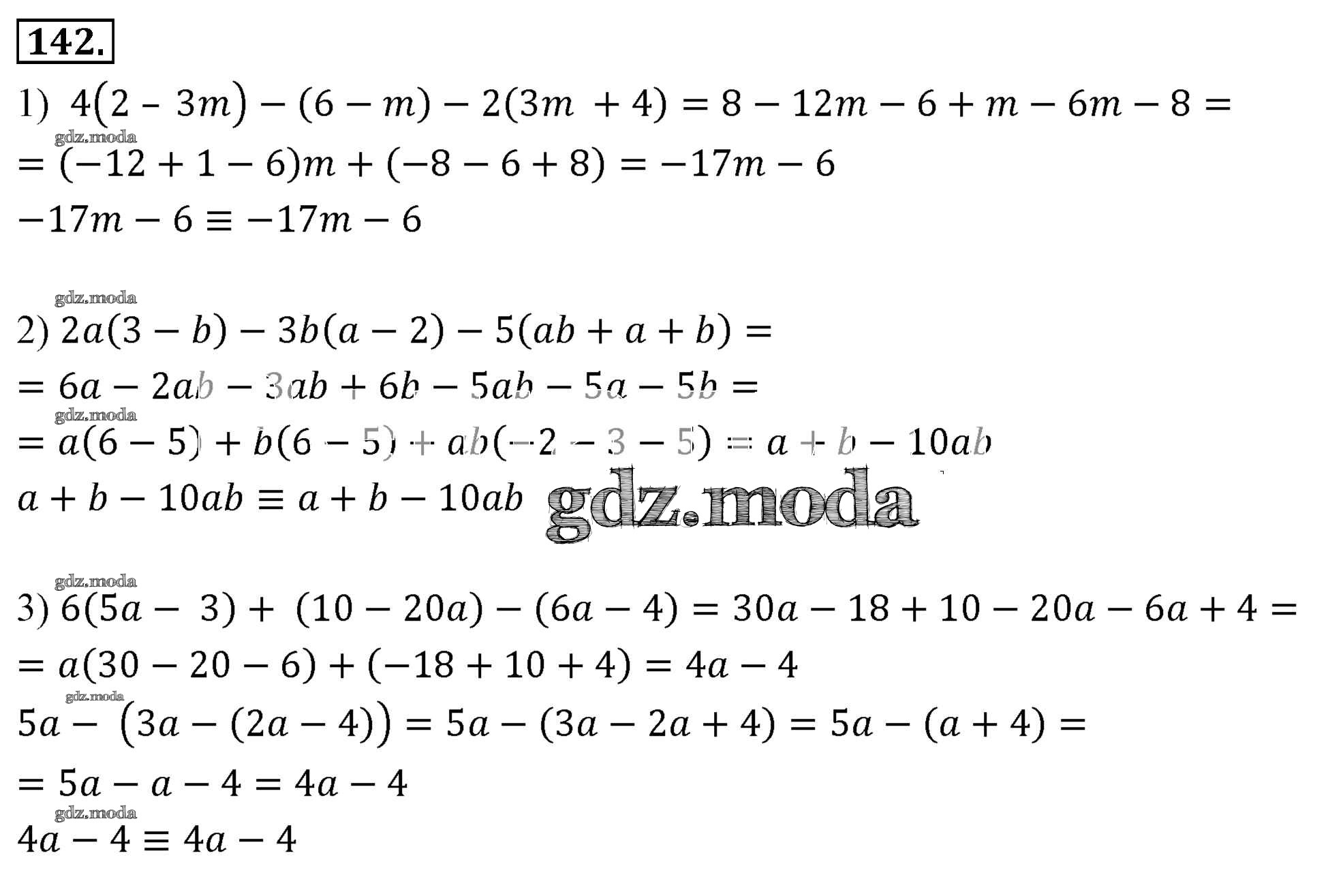
упражнение / 142

Решебник №1
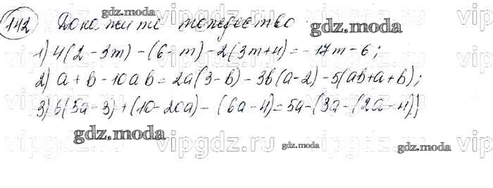
упражнение / 142


Решебник №2
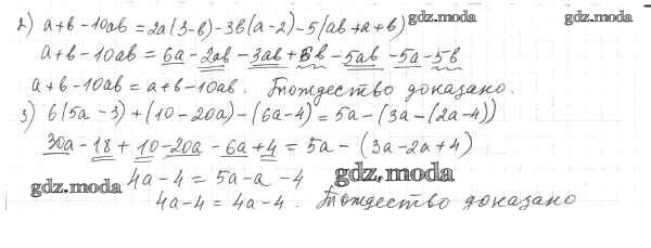
упражнение / 142

Решебник №3
упражнение / 142

Решебник №4
упражнение / 142


Решебник №5
упражнение / 142

Все ГДЗ по Алгебре 7 класс Алгоритм успеха