ОТВЕТ на задание № 143 Учебник по Алгебре 7 класс Мерзляк Алгоритм успеха Базовый уровень
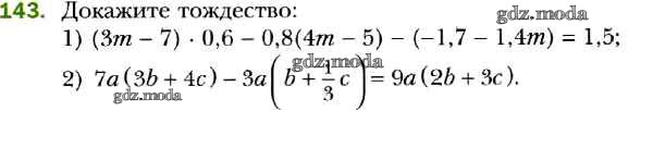
Условия
упражнение / 143

Решебник №1
упражнение / 143


Решебник №2
упражнение / 143

Решебник №3
упражнение / 143

Решебник №4
упражнение / 143

Решебник №5
упражнение / 143

Все ГДЗ по Алгебре 7 класс Алгоритм успеха