ОТВЕТ на задание № 243 Учебник по Алгебре 7 класс Мерзляк Алгоритм успеха Базовый уровень
Условия
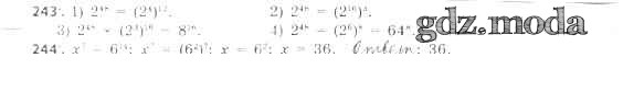
упражнение / 243

Решебник №1
упражнение / 243

Решебник №2
упражнение / 243

Решебник №4
упражнение / 243

Решебник №5
упражнение / 243

Все ГДЗ по Алгебре 7 класс Алгоритм успеха