ОТВЕТ на задание № 244 Учебник по Алгебре 7 класс Мерзляк Алгоритм успеха Базовый уровень
Условия
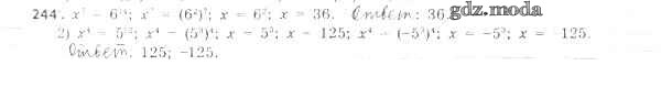
упражнение / 244

Решебник №1
упражнение / 244


Решебник №2
упражнение / 244

Решебник №4
упражнение / 244

Решебник №5
упражнение / 244

Все ГДЗ по Алгебре 7 класс Алгоритм успеха