ОТВЕТ на задание № 281 Учебник по Алгебре 7 класс Мерзляк Алгоритм успеха Базовый уровень
Условия
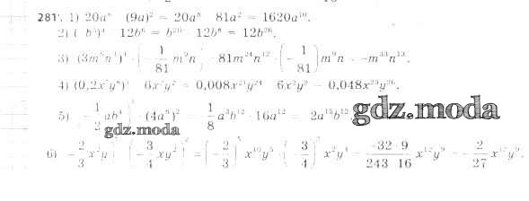
упражнение / 281

Решебник №1
упражнение / 281


Решебник №2
упражнение / 281

Решебник №4
упражнение / 281

Решебник №5
упражнение / 281

Все ГДЗ по Алгебре 7 класс Алгоритм успеха