ОТВЕТ на задание № 282 Учебник по Алгебре 7 класс Мерзляк Алгоритм успеха Базовый уровень
Условия
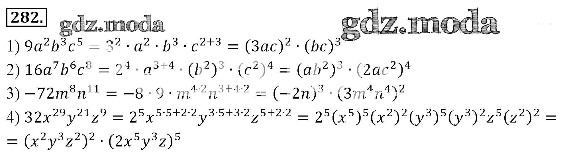
упражнение / 282

Решебник №1
упражнение / 282


Решебник №2
упражнение / 282

Решебник №4
упражнение / 282

Решебник №5
упражнение / 282

Все ГДЗ по Алгебре 7 класс Алгоритм успеха