ОТВЕТ на задание № 283 Учебник по Алгебре 7 класс Мерзляк Алгоритм успеха Базовый уровень
Условия
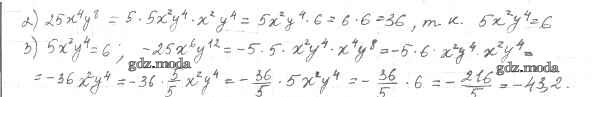
упражнение / 283

Решебник №1
упражнение / 283

Решебник №2
упражнение / 283

Решебник №4
упражнение / 283


Решебник №5
упражнение / 283

Все ГДЗ по Алгебре 7 класс Алгоритм успеха