ОТВЕТ на задание № 285 Учебник по Алгебре 7 класс Мерзляк Алгоритм успеха Базовый уровень
Условия
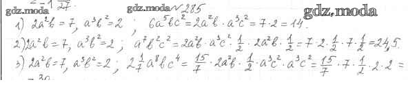
упражнение / 285

Решебник №1
упражнение / 285


Решебник №2
упражнение / 285

Решебник №4
упражнение / 285

Решебник №5
упражнение / 285

Все ГДЗ по Алгебре 7 класс Алгоритм успеха