ОТВЕТ на задание № 286 Учебник по Алгебре 7 класс Мерзляк Алгоритм успеха Базовый уровень
Условия
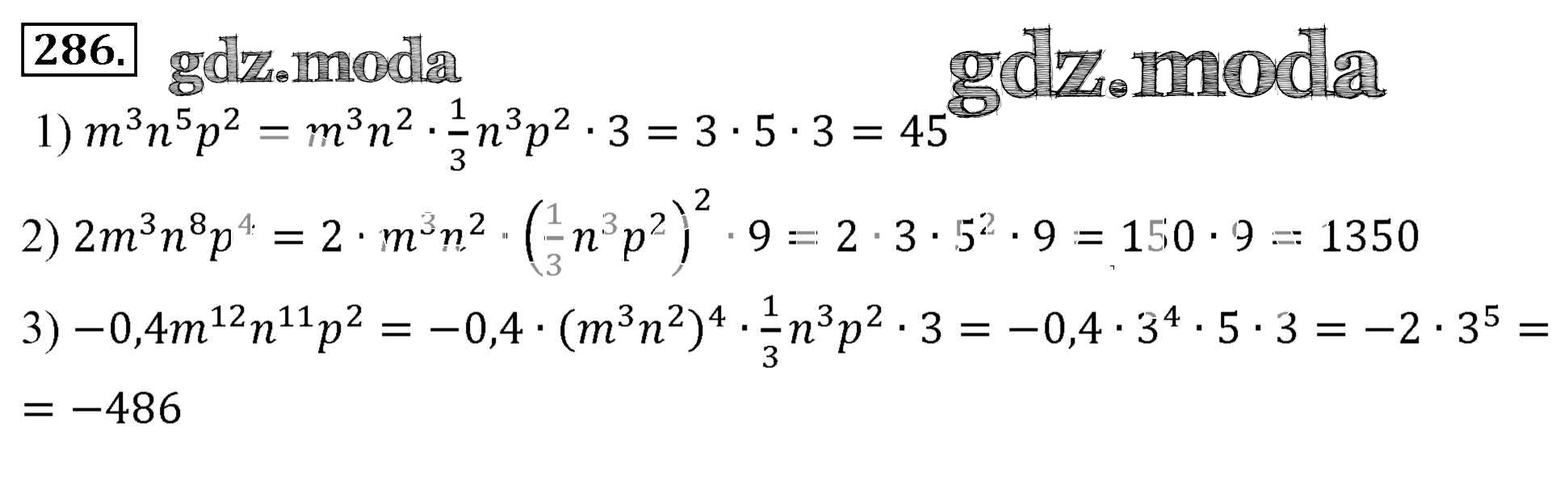
упражнение / 286

Решебник №1
упражнение / 286


Решебник №2
упражнение / 286

Решебник №4
упражнение / 286

Решебник №5
упражнение / 286

Все ГДЗ по Алгебре 7 класс Алгоритм успеха