ОТВЕТ на задание № 292 Учебник по Алгебре 7 класс Мерзляк Алгоритм успеха Базовый уровень
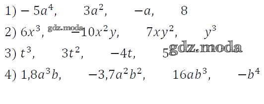
Условия
упражнение / 292

Решебник №1
упражнение / 292

Решебник №2
упражнение / 292

Решебник №4
упражнение / 292

Решебник №5
упражнение / 292

Все ГДЗ по Алгебре 7 класс Алгоритм успеха