ОТВЕТ на задание № 293 Учебник по Алгебре 7 класс Мерзляк Алгоритм успеха Базовый уровень
Условия
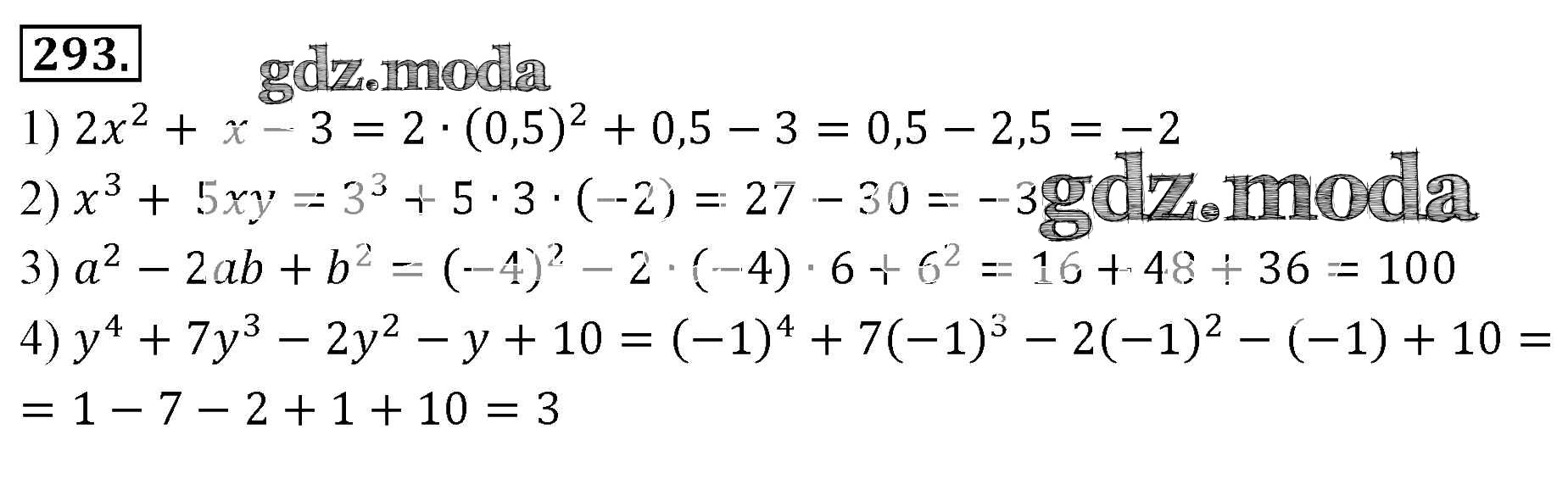
упражнение / 293

Решебник №1
упражнение / 293

Решебник №2
упражнение / 293

Решебник №3
упражнение / 293

Решебник №4
упражнение / 293

Решебник №5
упражнение / 293

Все ГДЗ по Алгебре 7 класс Алгоритм успеха