ОТВЕТ на задание № 310 Учебник по Алгебре 7 класс Мерзляк Алгоритм успеха Базовый уровень
Условия
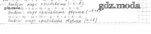
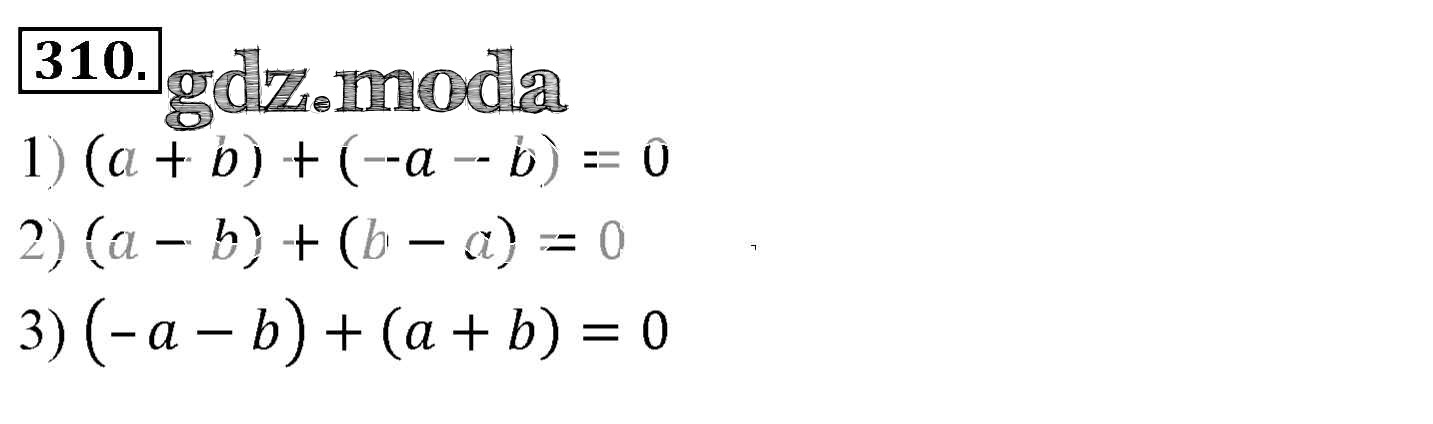
упражнение / 310

Решебник №1
упражнение / 310


Решебник №2
упражнение / 310

Решебник №4
упражнение / 310

Решебник №5
упражнение / 310

Все ГДЗ по Алгебре 7 класс Алгоритм успеха