ОТВЕТ на задание № 311 Учебник по Алгебре 7 класс Мерзляк Алгоритм успеха Базовый уровень
Условия
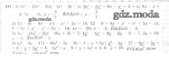
упражнение / 311

Решебник №1
упражнение / 311


Решебник №2
упражнение / 311

Решебник №4
упражнение / 311

Решебник №5
упражнение / 311

Все ГДЗ по Алгебре 7 класс Алгоритм успеха