ОТВЕТ на задание № 312 Учебник по Алгебре 7 класс Мерзляк Алгоритм успеха Базовый уровень
Условия
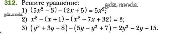
упражнение / 312

Решебник №1
упражнение / 312


Решебник №2
упражнение / 312

Решебник №3
упражнение / 312

Решебник №4
упражнение / 312

Решебник №5
упражнение / 312

Все ГДЗ по Алгебре 7 класс Алгоритм успеха