ОТВЕТ на задание № 355 Учебник по Алгебре 7 класс Мерзляк Алгоритм успеха Базовый уровень
Условия
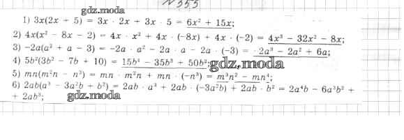
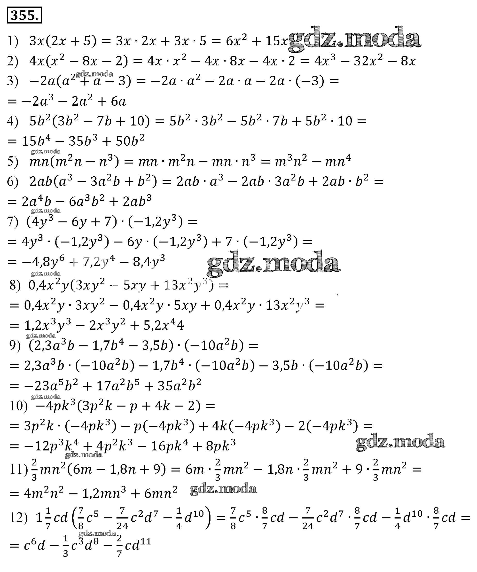
упражнение / 355

Решебник №1
упражнение / 355


Решебник №2
упражнение / 355

Решебник №4
упражнение / 355


Решебник №5
упражнение / 355

Все ГДЗ по Алгебре 7 класс Алгоритм успеха