ОТВЕТ на задание № 356 Учебник по Алгебре 7 класс Мерзляк Алгоритм успеха Базовый уровень
Условия
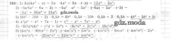
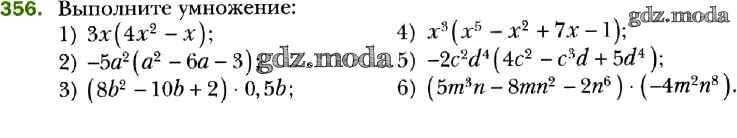
упражнение / 356

Решебник №1
упражнение / 356


Решебник №2
упражнение / 356

Решебник №4
упражнение / 356

Решебник №5
упражнение / 356

Все ГДЗ по Алгебре 7 класс Алгоритм успеха