ОТВЕТ на задание № 357 Учебник по Алгебре 7 класс Мерзляк Алгоритм успеха Базовый уровень
Условия
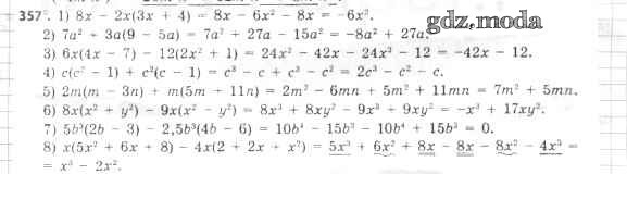
упражнение / 357

Решебник №1
упражнение / 357


Решебник №2
упражнение / 357

Решебник №4
упражнение / 357

Решебник №5
упражнение / 357

Все ГДЗ по Алгебре 7 класс Алгоритм успеха