ОТВЕТ на задание № 361 Учебник по Алгебре 7 класс Мерзляк Алгоритм успеха Базовый уровень
Условия
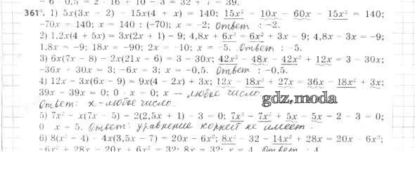
упражнение / 361

Решебник №1
упражнение / 361



Решебник №2
упражнение / 361

Решебник №3
упражнение / 361

Решебник №4
упражнение / 361

Решебник №5
упражнение / 361

Все ГДЗ по Алгебре 7 класс Алгоритм успеха