ОТВЕТ на задание № 362 Учебник по Алгебре 7 класс Мерзляк Алгоритм успеха Базовый уровень
Условия
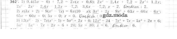
упражнение / 362

Решебник №1
упражнение / 362


Решебник №2
упражнение / 362

Решебник №4
упражнение / 362

Решебник №5
упражнение / 362

Все ГДЗ по Алгебре 7 класс Алгоритм успеха