ОТВЕТ на задание № 363 Учебник по Алгебре 7 класс Мерзляк Алгоритм успеха Базовый уровень
Условия
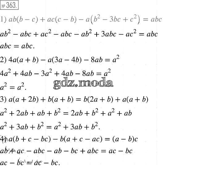
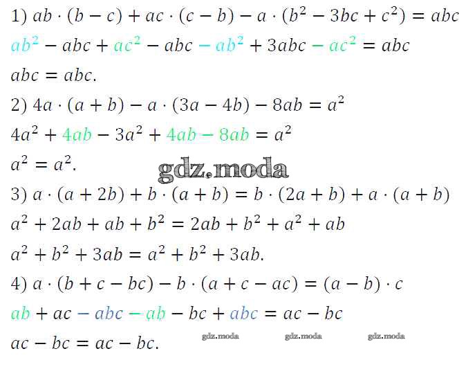
упражнение / 363

Решебник №1
упражнение / 363


Решебник №2
упражнение / 363

Решебник №3
упражнение / 363

Решебник №4
упражнение / 363

Решебник №5
упражнение / 363

Все ГДЗ по Алгебре 7 класс Алгоритм успеха