ОТВЕТ на задание № 371 Учебник по Алгебре 7 класс Мерзляк Алгоритм успеха Базовый уровень
Условия
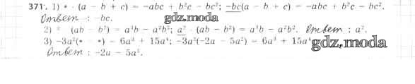
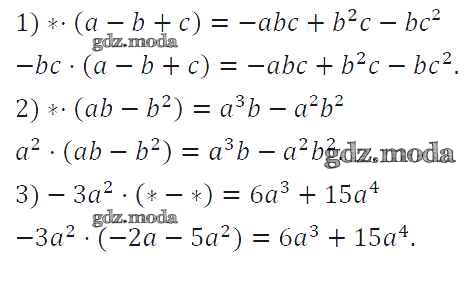
упражнение / 371

Решебник №1
упражнение / 371


Решебник №2
упражнение / 371

Решебник №4
упражнение / 371

Решебник №5
упражнение / 371

Все ГДЗ по Алгебре 7 класс Алгоритм успеха