ОТВЕТ на задание № 372 Учебник по Алгебре 7 класс Мерзляк Алгоритм успеха Базовый уровень
Условия
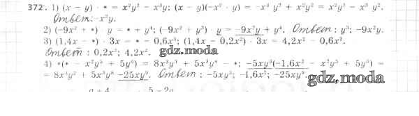
упражнение / 372

Решебник №1
упражнение / 372


Решебник №2
упражнение / 372

Решебник №4
упражнение / 372

Решебник №5
упражнение / 372

Все ГДЗ по Алгебре 7 класс Алгоритм успеха