ОТВЕТ на задание № 373 Учебник по Алгебре 7 класс Мерзляк Алгоритм успеха Базовый уровень
Условия
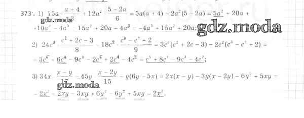
упражнение / 373

Решебник №1
упражнение / 373


Решебник №2
упражнение / 373

Решебник №4
упражнение / 373

Решебник №5
упражнение / 373

Все ГДЗ по Алгебре 7 класс Алгоритм успеха