ОТВЕТ на задание № 374 Учебник по Алгебре 7 класс Мерзляк Алгоритм успеха Базовый уровень
Условия
упражнение / 374

Решебник №1
упражнение / 374


Решебник №2
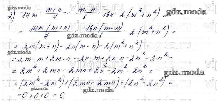
упражнение / 374

Решебник №4
упражнение / 374

Решебник №5
упражнение / 374

Все ГДЗ по Алгебре 7 класс Алгоритм успеха