ОТВЕТ на задание № 394 Учебник по Алгебре 7 класс Мерзляк Алгоритм успеха Базовый уровень
Условия
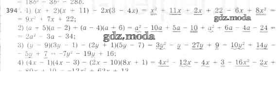
упражнение / 394

Решебник №1
упражнение / 394

Решебник №2
упражнение / 394

Решебник №4
упражнение / 394

Решебник №5
упражнение / 394

Все ГДЗ по Алгебре 7 класс Алгоритм успеха